Postingan

Menampilkan postingan dengan label z-test formula for two samples
Tunjukkan semua

Z Test Formula

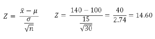
We can use x as a test statistic rejecting the null hypothesis if x μ 0 is large. S 2 σ 2 n. One Sample Z Test The z test excel formula is categorized under excel statistical functions. Z test formula . The test statistic is a z score z defined by the following equation. Let us assume a populat…