Postingan

Menampilkan postingan dengan label principle of conservation of mechanical energy formula
Tunjukkan semua

Principle Of Conservation Of Mechanical Energy Formula

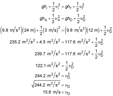
If no outside forces act on the system then the total mechanical energy is conserved. Therefore we can say that the sum of the e p and the e k anywhere during the motion must be equal to the sum of the the e p and the e k anywhere else in the motion. Mechanical Energy In Physics Problems Dummies…